Out Of Turn Promotion
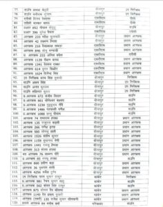
रायपुर। छत्तीसगढ़ पुलिस विभाग ने नक्सल इलाको में पदस्थ में 131 पुलिस कर्मियों को आउट ऑफ टर्न प्रमोशन दिया है। इन पुलिसकर्मियों ने पुलिस-नक्सली मुठभेड़ में अदम्य साहस और वीरता का परिचय दिया था।
RAED MORE – CHAIN SNATCHING CASE : राजधानी रायपुर के DSP की मां के साथ हुई वारदात, नकाबपोश बाइक सवार बदमाशों ने छीना चेन
जिसके बाद डीजीपी अशोक जुनेजा के आदेश से SI को थानेदार, हेड कॉन्स्टेबल को ASI और कॉन्स्टेबल को हेड कॉन्स्टेबल बनाया गया है।
देखें प्रमोशन लिस्ट:-



